CROSS LIGUE SUD OUEST 2019
CROSS LSO – FSPN 2019
C’est après quelques jours et une nuit de pluie que vous avez pu courir sous un magnifique soleil dans un cadre magnifique de vignes et de forêt.
Deux départs étaient donnés pour laisser les filles s’élancer en premier sur 5,270 km, Véronique.H (ASP Bordeaux) l’emportait avec près de 45s sur sa poursuivante Aude.B (AS PJ Bordeaux) et suivit de Julie.D (ASP Limoges).
Les hommes ont suivit sur 9,760 km, remporté en 35,27 min par Grégory.P (ASP Périgueux) suivit de Florian.C (AS CRS Limoges) en 37,13 min et suivit de Cyril.B (AS CRS Cenon)
Merci à vous d’être venu participer de partout, hélas certains (trop nombreux se sont inscrit et ne sont pas venus)
Ce fût une matinée magnifique.
Nous espérons que cela vous a plu et que vous avez aimé ce joli parcours concocté par L’Athlétisme de Léognan. (Merci à eux ainsi qu’à la Mairie).
Merci à notre CTL pour son travail, ainsi qu’au Chronométreur et à nos partenaires institutionnels d’être venus.
Merci au club de Rugby de nous avoir accueillit dans son Club House et nous avoir servit un petit repas avant de tous retourner à la récupération.
Vous trouverez les résultats, un petit article du Léognan Athlétisme et de nombreuses photos de vous faites sur le parcours par nos fabuleux bénévoles et votre chargé de développement.
A très bientôt sur d’autres courses et bon courage bonne préparation à ceux qui nous représenteront au Championnat de France de Cross en Février à Miramas.
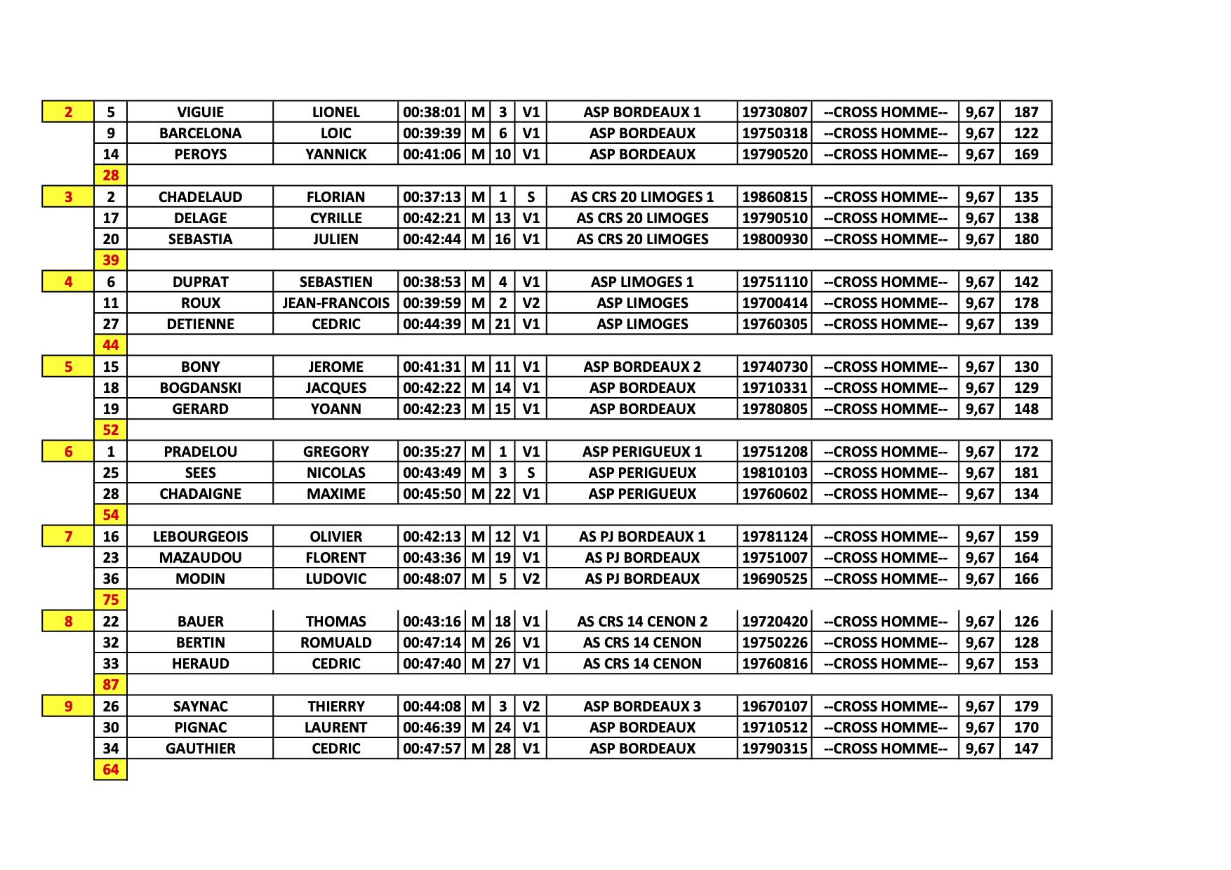
RÉSULTATS :
On parle de vous dans la presse locale:










75 rue Denis PAPIN